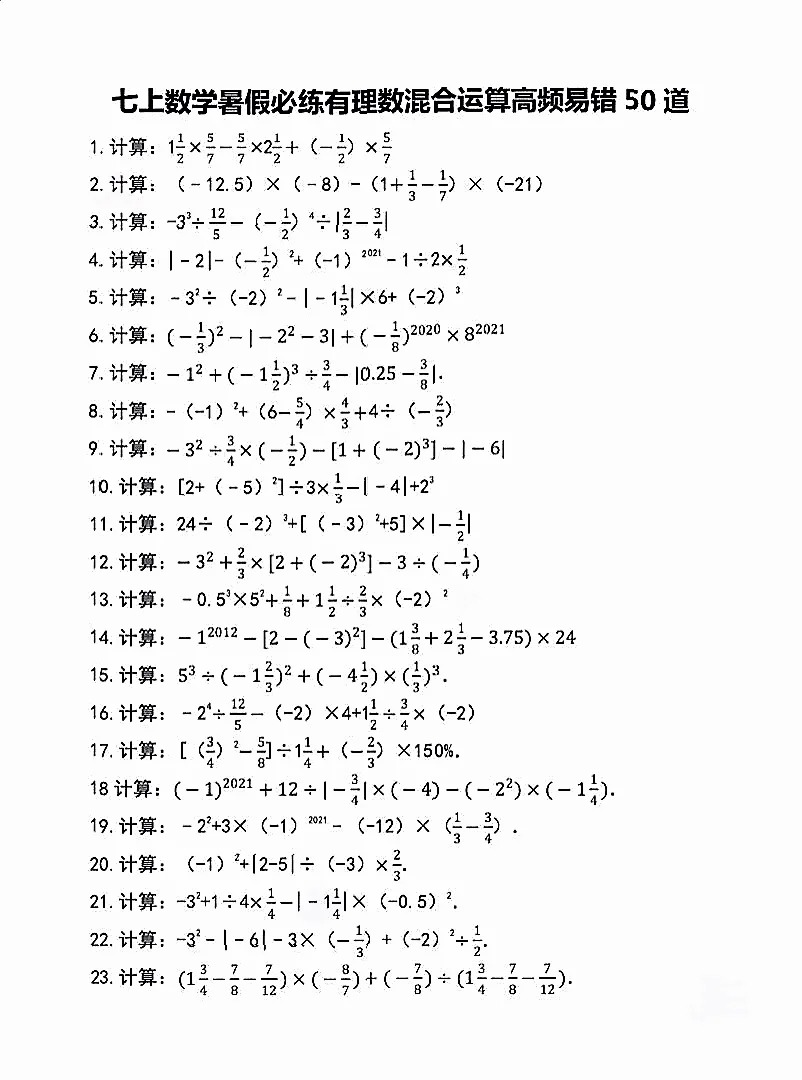
有理数运算高频易错50道!
# 有理数运算高频易错50道! 有理数运算作为初中数学入门重点,也是月考、期中高频失分点。50道高频易错题精准覆盖符号处理、运算顺序、绝对值结合等核心陷阱,吃透能大幅降低计算失误率。 ## 一、3大高频易错类型+典型题例 1. **符号混淆(占比40%)** - 易错点:异号相加漏变号、负负得正记混 例1:$(-5)+3$ 易误算为 $8$(正确:$-2$);例2:$(-3)×(-4)$ 易漏写负号(正确:$12$) 2. **运算顺序错乱(占比30%)** - 易错点:跳过括号、先乘除后加减记反 例:$18÷(-3)×2$ 易先算 $3×2$(正确:$18÷(-3)=-6$,再算 $-6×2=-12$) 3. **绝对值与负号叠加(占比30%)** - 易错点:绝对值内符号处理失误 例:$-|-7|$ 易误算为 $7$(正确:先算 $|-7|=7$,再添负号得 $-7$) ## 二、避坑核心技巧 1. **符号优先标**:计算前先给每步运算的符号“打标记”,如遇负号用“△”标注,避免漏看; 2. **步骤分层写**:复杂题分两步算(如先算括号内、再算括号外),不跳步; 3. **错题归类记**:50道题按“符号错”“顺序错”分类整理,标注错误原因(如“误将除法变乘法”)。 这50道题涵盖有理数加、减、乘、除、乘方全题型,建议每天练10道,3天内可掌握核心易错点。搭配课本例题对比练,能快速养成规范计算习惯,期中计算题正确率可提升至90%以上!




发表评论